Phentermine makes fasting easier, boosts energy, and improves cognitive performance for boxers
Fasting is perhaps the most beneficial practice available today for anyone to make themselves healthy. When you stop eating, your body starts relying more calories stored more in the form of glycogen and, once those are depleted, your body goes through a series of hormonal changes that allow it to start burning stores of fat.
If that wasn’t enough, fasting also promotes autophagy, which is essentially your body’s cellular cleanup process. During autophagy, cells break down and recycle damaged or dysfunctional components, including misfolded proteins, damaged organelles, and pathogens.
Autophagy helps prevent cellular dysfunction, reduces inflammation, and may protect against aging-related diseases, cancer, and neurodegeneration. Think of it as your body’s way of conducting essential maintenance – clearing out the old and damaged parts to make room for healthy new cells.
For boxers, an underrated benefit of autophagy is that it can accelerate the healing of wounds and decrease the aches and inflammation that come with training. It a
Why is fasting so difficult?
First, we have to mention the fundamental challenge with fasting: hunger. Given that food is the 3rd most thing for survival (behind air and water), it makes sense that your body isn’t happy when you deprive yourself of it. If you can stop feeling hungry, then fasting should be easy?
Autophagy only begins after about 12-16 hours of fasting, with benefits increasing up to the 24-36 hour mark. However, going without eating for 16 hours is surprisingly difficult for most people. Especially if they are one of the 40% of adults aged 18-44 who suffer from insulin resistance.
Since the real benefits of fasting don’t even kick in until closer to hour 16 than hour 12, what should you do if you can’t last long enough to get the benefits of fasting? Well you use drugs, of course.
This is the idea behind Ozempic, Wagovy, Semaglutide, or any brand of GLP-1 agonist on the market. Those medications make you feel fuller, faster, and longer, so you’re less inclined to eat. And the good news is they work—people lose weight on them.
However, people on those medications experience significant muscle loss.
GLP-1 agonists also increase insulin while decreasing blood sugar levels sugar by blocking glucagon secretion. This is often necessary if someone has high blood sugar from type 2 diabetes, but it’s also necessary if you’re just someone who wants to fast or is in the middle of training and wants help shedding a few pounds. Not only is this is not an ideal situation, it could lead to dangerously low blood sugar levels.
The other reason why you don’t want to use a GLP-1 agonist for fasting is because they’re overkill. Semaglutide has a half-life of 1 week. If you want to do an intermittent fast or only eat one meal a day, it might make things easier initially, but you’ll need the desire to eat so you can stay strong training sessions.
So, for the athlete who wants to get the benefits of fasting without all of the potential risks, we need a different approach to appetite suppression.
Fortunately, we have phentermine. And we get a lot more from phentermine than just a suppressed appetite.
What is phentermine?

Phentermine is a prescription medication that’s been FDA-approved since the 1950s for short-term weight management. Unlike GLP-1 agonists, phentermine works primarily through your central nervous system by stimulating the release of neurotransmitters – specifically norepinephrine, dopamine, and serotonin. This creates a powerful but controllable effect that makes fasting not just manageable, but actually productive.
What makes phentermine particularly suitable for fasting and athletic performance is its predictable pharmacology. With a half-life of about 20 hours, you can take it in the morning and expect appetite suppression to last through your fasting window, yet still be able to eat when you want to break your fast. The effects begin within 30 minutes to 2 hours, peak at 3-4 hours, and gradually diminish – giving you control over your feeding schedule that GLP-1 agonists simply can’t match.
But the benefits of phentermine extend far beyond just making you less hungry. While appetite suppression is the primary effect, the medication’s impact on neurotransmitters creates a cascade of beneficial effects for anyone pursuing physical and mental performance.
Enhanced Energy and Focus
Phentermine’s mechanism for promoting wakefulness and alertness is fundamentally different from caffeine, operating through direct neurotransmitter modulation rather than adenosine blockade.
While caffeine works by blocking adenosine receptors – essentially preventing your brain from receiving “tired” signals – phentermine actively increases norepinephrine and dopamine levels. This distinction is crucial: caffeine can only block fatigue signals, while phentermine actively promotes alertness through multiple pathways.
Norepinephrine, when released, activates the brain’s arousal and attention systems more comprehensively than caffeine. It enhances neural transmission in areas responsible for focus, attention, and alertness while improving sensory processing and reaction time. Meanwhile, dopamine enhances motivation and reward circuitry, making tasks more engaging and manageable. This dual action creates a state of enhanced cognition that feels more natural and sustainable than caffeine’s sometimes jittery stimulation.
The duration of effects also differs significantly. Caffeine has a relatively short half-life of about 5 hours, leading to a noticeable crash as adenosine receptors become available again. Phentermine’s 20-hour half-life and its direct action on neurotransmitter release create a more gradual rise and fall in energy levels, avoiding the sharp peaks and crashes associated with caffeine use.
Impact on Training
For athletes, phentermine’s neurotransmitter profile becomes particularly valuable during fasted training sessions. The sustained release of norepinephrine helps maintain muscle activation and neural drive, while dopamine keeps motivation high even in a calorie-depleted state. This combination allows you to maintain training intensity even while fasting – something that’s much harder to achieve with caffeine alone.
The catecholamine release also helps mobilize fatty acids and maintain blood glucose levels through gluconeogenesis, providing a steady energy supply even without food. Unlike caffeine, which primarily mobilizes fatty acids through adrenaline release (leading to potential jitters and anxiety), phentermine’s effects on substrate mobilization are more gradual and sustained.
Moreover, the dopaminergic effects help maintain focus during technical movements and complex training sessions, potentially improving training quality even in a fast state. This is particularly valuable for athletes who need to maintain performance while managing their weight or trying to achieve specific body composition goals.
Warning for athletes subject to testing
As of this writing (November 2024), the World Anti Doping Agency (WADA) places phentermine in the “prohibited in competition” category. WADA’s exact definition of “prohibited in competition” is as follows:
“Subject to a different period having been approved by WADA for a given sport, the In-Competition period shall, in principle, be the period commencing just before midnight (at 11:59 p.m.) on the day before a Competition in which the Athlete is scheduled to participate until the end of the Competition and the Sample collection process.”
In other words, you can’t have this in your system when you compete, but you can use it in training. The National Collegiate Athletic Association (NCAA) and the Voluntary Anti-Doping Agency (VADA) are more strict about phentermine. It’s banned if an athlete is part of one of those programs, in-competition and in training.
Phentermine has a half-life of 20 hours and takes 5-6 half-lives to be completely eliminated from your body. So, if you compete in a sport that adheres to the WADA’s “prohibited in competition” designation, stop taking it 6 days before the competition to make sure you don’t fail a drug test.
I’m not giving medical or training advice. You’re free to make your own decisions, and you should consult with the rule book concerning your sport to see if a different agency or set of rules governs it. I am officially telling you that I’m not giving you medical advice or advising you on what to take. I’m just telling you what works for me and the rules governing my sport.
When I competed, I was never enrolled in VADA. Should I compete again and enroll, I’ll obviously not use phentermine. Until then, there’s work to be done.
Enhanced Mental Performance
The cognitive enhancement from phentermine is more comprehensive than caffeine’s effects. While caffeine primarily improves alertness and basic attention, phentermine’s modulation of both norepinephrine and dopamine creates a state of enhanced cognition across multiple domains. Norepinephrine improves attention, alertness, and information processing, while dopamine enhances working memory, learning, and motivation.
This combination is particularly valuable during fasting periods when cognitive decline might normally occur. Research has shown that fasting can sometimes lead to decreased cognitive performance, particularly in people who aren’t fat-adapted. Phentermine helps bridge this gap by maintaining optimal neurotransmitter levels throughout extended fasting periods, allowing you to maintain high productivity levels when they would typically decline.
The cognitive benefits also tend to be more balanced compared to caffeine. While caffeine can sometimes lead to over-arousal, anxiety, and difficulty focusing on detailed tasks, phentermine’s modulation of both norepinephrine and dopamine creates a more controlled state of enhanced cognition. Users often report feeling “normally alert” rather than stimulated, making engaging in creative and analytical tasks easier.
For something more geared towards alertness and concentration, consider stacking Phentermine with Alpha Brain. Again, I’m only telling you my experience, not giving you medical advice proceed at your own risk.
Read more about Alpha Brain here—>Alpha Brain Review
Important considerations when adding phentermine to your training stack
The key to success with phentermine is understanding that it’s a tool, not a solution. It should be used strategically to help establish sustainable fasting patterns and support your training goals. The ideal approach is to:
Take it as early as possible because phentermine has a 20-hour half-life, meaning that it takes 20 hours for half to remain in your system. Complete elimination takes between 5-6 half-lives, or approximately 5 days. Phentermine starts working within 15 minutes, and it’s effectiveness peaks 3-4 hours in, but if you take it too late in the day, you may have trouble getting to sleep. And you definitely don’t want to take it after sundown—unless you’re looking to pull an all-nighter.
Take it early, ideally before 10 AM, when your natural cortisol levels are highest. The medication reaches peak effectiveness in 3-4 hours, creating an optimal window for fasting and training. This timing allows you to maintain longer fasting windows of 16-20 hours – precisely when the most beneficial processes like autophagy and enhanced fat oxidation occur.
During these periods, phentermine’s effects on norepinephrine suppress hunger and maintain energy and mental clarity, making it easier to adhere to your fasting schedule while staying productive. However, this increased sympathetic activation means you’ll need to pay extra attention to hydration and electrolyte balance.
Aim for 3-4 liters of water daily, and consider supplementing with key electrolytes like sodium (3000-5000mg), potassium (3500-4700mg), and magnesium (400-500mg).
When it comes to training, schedule your workouts during the peak effects for optimal performance, typically 3-4 hours after dosing. This timing maximizes the benefits of enhanced neural drive and fat oxidation while maintaining strength. Finally, plan your feeding windows strategically – breaking your fast when phentermine’s effects begin to diminish and ensuring adequate protein intake (1.6-2.2g/kg body weight) to preserve muscle mass.
Remember, phentermine is a tool to help establish sustainable patterns, not a permanent solution. The goal is to use these 8-12 weeks to build habits that will continue long after completing the medication cycle.
Phentermine Dosing and Timing For Best Effect
I can only speak on how I take the medication, so you should speak to your medical provider. Also, keep in mind that I’m 215 lbs at 13-15% body fat.
My pills are 37.5 mg phentermine. On the days I plan to use it for fasting, I take them about an hour after I wake up in the morning. I time it this way because I’m already 10-12 hours into a fast depending on when I ate dinner the night before and how long I slept, so the appetite suppression will kick in making it easy to move get another 6 to 8 hours in without any discomfort.
As for training, I follow the same general protocol. However, if I plan to train any later than 2 p.m. I won’t take it. Remember: the half-life is approximately 20 hours, and I don’t want to have any trouble sleeping. So, generally speaking, the earlier in the day you take phentermine, the less-likely it is that you’ll have trouble falling asleep at night.
I also use phentermine when I plan to do focused work. Because it has properties similar to adderall, there is a mild nootropic effect. When you couple that with the appetite suppression effect, you’ll find it easier to work harder.
Who should NOT use phentermine?
Before considering phentermine as a tool for enhancing your fasting and training goals, it’s crucial to understand who should not use this medication. Phentermine works by stimulating your sympathetic nervous system – the same system that kicks in during “fight or flight” responses. While this mechanism makes it effective for its intended purposes, it also means certain individuals need to avoid it entirely.
Anyone with cardiovascular issues should stay away from phentermine. When phentermine increases norepinephrine levels, it raises both heart rate and blood pressure. For someone with heart disease, this extra cardiovascular stress could trigger serious complications, from arrhythmias to heart attacks, by increasing the heart’s oxygen demand beyond what diseased vessels can supply.
Similarly, people with uncontrolled high blood pressure must avoid phentermine. The medication’s effects on the sympathetic nervous system cause vasoconstriction (narrowing of blood vessels) and increased heart rate. If you already have high blood pressure, this additional strain could push your numbers into dangerous territory, significantly increasing your risk of stroke or other cardiovascular events.
Hyperthyroidism is another deal breaker. Your thyroid gland naturally increases metabolic rate and sympathetic activity. Adding phentermine to an already overactive thyroid would be like throwing gasoline on a fire – potentially leading to dangerous elevations in heart rate, severe anxiety, and even a thyroid storm (the body releases a large amount of thyroid hormones in a short amount of time), a life-threatening emergency.
Finally, individuals with a history of drug abuse should not take phentermine. As a Schedule IV controlled substance, it has properties similar to amphetamines and carries a risk of psychological dependence. For someone with a history of substance abuse, this could trigger relapse patterns or develop into a new dependency.
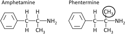
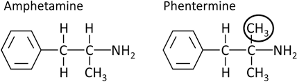
Here’s a fun fact. Phentermine and amphetamine (crystal meth) share some similarities but, thank goodness, some major differences.
Both compounds are structurally related, belonging to the phenethylamine class, with phentermine having an additional methyl group on the alpha carbon compared to the basic amphetamine structure.
This subtle difference significantly changes their pharmacological behavior; phentermine primarily acts as an appetite suppressant by promoting norepinephrine release, making it useful for weight loss treatments. On the other hand, amphetamine, with its broader release of dopamine, norepinephrine, and serotonin, is used for conditions like ADHD and narcolepsy, providing cognitive enhancement and wakefulness.

Phentermine is less potent in its central nervous system effects and considered safer with a lower potential for abuse. It’s classified as a Schedule IV substance, sharing the same space as relatively harmless drugs like Modafinil, Xanax, and Valium.. Amphetamine, due to its stronger stimulant properties, falls under Schedule II, the same category as cocaine, meth, and fentanyl.
These warnings aren’t meant to frighten but to ensure the safe use of what can be an extremely effective tool when used appropriately. If you have any of these conditions, work with your healthcare provider to explore alternative approaches to achieving your fasting and performance goals. For healthy individuals under proper medical supervision, phentermine can be safely used to enhance your fasting journey and support your training objectives.
Written by
Ed Latimore
Ed Latimore is a best-selling author, professional heavyweight boxer, and physicist. He writes about self-improvement, sobriety, fighting, and the lessons he learned growing up in the projects of Pittsburgh.
Follow @EdLatimore